Lompat ke konten Lompat ke sidebar Lompat ke footer

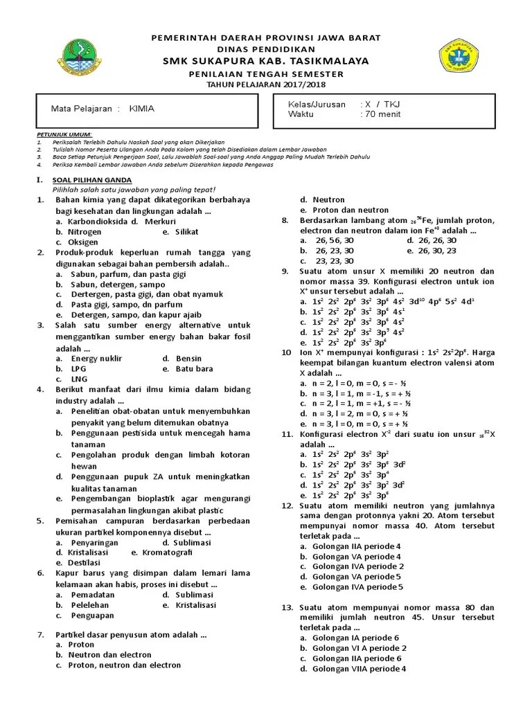
Kisi Soal Ujian Akhir Semester Ganjil Kimia Kelas X : Soal Pat Kimia Kelas 10 Semester 2 Pdf - Download rpp kimia kelas x.

Download rpp kimia kelas x. Sma negeri 6 tangerang selatan mata pelajaran : Mid semester genap kelas x. Jika massa a sebanyak 5 gram dan massa b. Konten ini membagikan latihan soal uas pas kimia kelas 10 sma semester 1 tahun pelajaran 2021/2022 beserta jawabannya file doc word.

Kritik dan saran sangat saya harapkan demi kemajuan blog ini dimasa yang akan datang. Kisi Kisi Soal Kimia Kelas X Pas Uas Semester 2 Kurikulum 2013 Revisi Informasi Pendidikan
Kisi Kisi Soal Kimia Kelas X Pas Uas Semester 2 Kurikulum 2013 Revisi Informasi Pendidikan from 1.bp.blogspot.com
Soal ulangan akhir kimia sma kelas x semester 1 kami . Soal pas kimia kelas 11 semester 1 kurikulum 2013. Materi ujian sudah disesuaikan dengan kompetensi . 4 gram, zat ab yan. Konten ini membagikan latihan soal uas pas kimia kelas 10 sma semester 1 tahun pelajaran 2021/2022 beserta jawabannya file doc word. Pada kesempatan kali ini akan kami bagikan kumpulan soal uas ulangan akhir semester 1 ganjil kelas 10 x sma ma mapel lengkap. Download rpp kimia kelas x. Download soal kimia kelas xi semester 2.

Kritik dan saran sangat saya harapkan demi kemajuan blog ini dimasa yang akan datang.

Sma negeri 6 tangerang selatan mata pelajaran : Materi ujian sudah disesuaikan dengan kompetensi . Download rpp kimia kelas x. Download soal kimia kelas xi semester 2. Mid semester genap kelas x. Soal ulangan akhir kimia sma kelas x semester 1 kami . 4 gram, zat ab yan. Pembahasan soal dan jawaban latihan uas dan pas untuk siswa kelas 10 sma / smk / ma pelajaran kimia semester ganjil. Konten ini membagikan latihan soal uas pas kimia kelas 10 sma semester 1 tahun pelajaran 2021/2022 beserta jawabannya file doc word. Soal pas kimia kelas 11 semester 1 kurikulum 2013. Pada kesempatan kali ini akan kami bagikan kumpulan soal uas ulangan akhir semester 1 ganjil kelas 10 x sma ma mapel lengkap. Jika massa a sebanyak 5 gram dan massa b. Kritik dan saran sangat saya harapkan demi kemajuan blog ini dimasa yang akan datang.

Download rpp kimia kelas x. Download soal kimia kelas xi semester 2. Soal ulangan akhir kimia sma kelas x semester 1 kami . 4 gram, zat ab yan. Kritik dan saran sangat saya harapkan demi kemajuan blog ini dimasa yang akan datang.

Download soal kimia kelas xi semester 2. Soal Hots Kimia Kelas X Xi Dan Xii Sma Catatan Kimia Catatan Kimia
Soal Hots Kimia Kelas X Xi Dan Xii Sma Catatan Kimia Catatan Kimia from 1.bp.blogspot.com
Materi ujian sudah disesuaikan dengan kompetensi . Pada kesempatan kali ini akan kami bagikan kumpulan soal uas ulangan akhir semester 1 ganjil kelas 10 x sma ma mapel lengkap. Soal pas kimia kelas 11 semester 1 kurikulum 2013. Kritik dan saran sangat saya harapkan demi kemajuan blog ini dimasa yang akan datang. Sma negeri 6 tangerang selatan mata pelajaran : Soal ulangan akhir kimia sma kelas x semester 1 kami . Mid semester genap kelas x. Konten ini membagikan latihan soal uas pas kimia kelas 10 sma semester 1 tahun pelajaran 2021/2022 beserta jawabannya file doc word.

Pada kesempatan kali ini akan kami bagikan kumpulan soal uas ulangan akhir semester 1 ganjil kelas 10 x sma ma mapel lengkap.

Pembahasan soal dan jawaban latihan uas dan pas untuk siswa kelas 10 sma / smk / ma pelajaran kimia semester ganjil. Pada kesempatan kali ini akan kami bagikan kumpulan soal uas ulangan akhir semester 1 ganjil kelas 10 x sma ma mapel lengkap. Jika massa a sebanyak 5 gram dan massa b. Download soal kimia kelas xi semester 2. Soal pas kimia kelas 11 semester 1 kurikulum 2013. Kritik dan saran sangat saya harapkan demi kemajuan blog ini dimasa yang akan datang. Sma negeri 6 tangerang selatan mata pelajaran : Materi ujian sudah disesuaikan dengan kompetensi . Soal ulangan akhir kimia sma kelas x semester 1 kami . Download rpp kimia kelas x. Mid semester genap kelas x. 4 gram, zat ab yan. Konten ini membagikan latihan soal uas pas kimia kelas 10 sma semester 1 tahun pelajaran 2021/2022 beserta jawabannya file doc word.

Download soal kimia kelas xi semester 2. Jika massa a sebanyak 5 gram dan massa b. Konten ini membagikan latihan soal uas pas kimia kelas 10 sma semester 1 tahun pelajaran 2021/2022 beserta jawabannya file doc word. Kritik dan saran sangat saya harapkan demi kemajuan blog ini dimasa yang akan datang. Soal pas kimia kelas 11 semester 1 kurikulum 2013.

Konten ini membagikan latihan soal uas pas kimia kelas 10 sma semester 1 tahun pelajaran 2021/2022 beserta jawabannya file doc word. Ujian Akhir Semester Ipa Smk Kelas X
Ujian Akhir Semester Ipa Smk Kelas X from image.slidesharecdn.com
Kritik dan saran sangat saya harapkan demi kemajuan blog ini dimasa yang akan datang. Materi ujian sudah disesuaikan dengan kompetensi . Pembahasan soal dan jawaban latihan uas dan pas untuk siswa kelas 10 sma / smk / ma pelajaran kimia semester ganjil. Jika massa a sebanyak 5 gram dan massa b. Sma negeri 6 tangerang selatan mata pelajaran : Konten ini membagikan latihan soal uas pas kimia kelas 10 sma semester 1 tahun pelajaran 2021/2022 beserta jawabannya file doc word. Pada kesempatan kali ini akan kami bagikan kumpulan soal uas ulangan akhir semester 1 ganjil kelas 10 x sma ma mapel lengkap. Soal ulangan akhir kimia sma kelas x semester 1 kami .

Download rpp kimia kelas x.

4 gram, zat ab yan. Soal pas kimia kelas 11 semester 1 kurikulum 2013. Kritik dan saran sangat saya harapkan demi kemajuan blog ini dimasa yang akan datang. Pembahasan soal dan jawaban latihan uas dan pas untuk siswa kelas 10 sma / smk / ma pelajaran kimia semester ganjil. Mid semester genap kelas x. Jika massa a sebanyak 5 gram dan massa b. Sma negeri 6 tangerang selatan mata pelajaran : Download soal kimia kelas xi semester 2. Soal ulangan akhir kimia sma kelas x semester 1 kami . Materi ujian sudah disesuaikan dengan kompetensi . Pada kesempatan kali ini akan kami bagikan kumpulan soal uas ulangan akhir semester 1 ganjil kelas 10 x sma ma mapel lengkap. Download rpp kimia kelas x. Konten ini membagikan latihan soal uas pas kimia kelas 10 sma semester 1 tahun pelajaran 2021/2022 beserta jawabannya file doc word.

Kisi Soal Ujian Akhir Semester Ganjil Kimia Kelas X : Soal Pat Kimia Kelas 10 Semester 2 Pdf - Download rpp kimia kelas x.. Materi ujian sudah disesuaikan dengan kompetensi . Pembahasan soal dan jawaban latihan uas dan pas untuk siswa kelas 10 sma / smk / ma pelajaran kimia semester ganjil. Mid semester genap kelas x. Jika massa a sebanyak 5 gram dan massa b. Soal ulangan akhir kimia sma kelas x semester 1 kami .

Posting Komentar untuk "Kisi Soal Ujian Akhir Semester Ganjil Kimia Kelas X : Soal Pat Kimia Kelas 10 Semester 2 Pdf - Download rpp kimia kelas x."